静态查找表
查找表
同一类型的**记录(数据元素)**的集合
数据元素之间存在着松散的关系。为了提高查找的效率,可在元素之间人为地附加某种确定的关系。
- 静态查找表 对查找表的查找仅是以查询为目的,不改动查找表中的数据。
- 动态查找表 在查找的过程中同时插入不存在的记录,或删除某个已存在的记录。
关键字 记录(数据元素)中的某个数据项的值。
- 主关键字 该关键字可以唯一地标识一个记录。
- 次关键字 该关键字不能唯一标识一个记录。
查找
指定某个值,在查找表中确定是否存在一个记录,该记录的关键字等于给定值。
- 内查找 整个查找过程都在内存中进行,即全部数据元素均在内存。
- 外查找 在查找过程中需要访问外存,即数据元素需要分段读入内存查找。
平均查找长度ASL( AverageSearch Length )

静态查找表
静态查找表以顺序表表示
基础遍历
1 | int Seq_Search_1 (datatype data[ ], keytype kx, int n) |
遍历(扫描)到线性表的一个数据元素时,要进行两次比较操作
但是如果将给定值放在第0个记录处,让遍历从高到低,从后往前查找,就不需要越界检查了(因此少了一半比较操作)
或者放在最高处n,从0遍历到n也一样

1 | Int Seq_Search_2(datatype data[ ], keytype kx, int n) |
有序表查找
而满足 r[i].key >=/<= r[i+1].key的有序表也同样可以设置哨兵值来协助查找
就 r[i].key <= r[i+1].key为例
- 从前向后查找,哨兵设在尾部,当r[i]>=key时结束;
- 从后向前查找,哨兵设在头部,当r[i]<=key时结束;
斐波那契查找
设查找表记录数为某个费波拉契数减一,即 n=Fu-1,则可将给定值与第Fu -1个记录比较,若比其小,则在1–Fu -1-1记录间查找,否则在Fu -1+1–Fu-1记录间查找 。如下图所示:


静态树的查找
两个原则
- 最先访问的结点应是访问概率最大的结点;
- 每次访问应使结点两边尚未访问的结点的被访概率之和尽可能相等。
静态最优查找树
定义:查找性能最佳的判定树
性质:带权内路径长度之和PH为最小值
其中
与ASL成正比
n:二叉树上结点的个数(有序表长度)
hi:第i个结点在二叉树上的层次数
wi=c*pi:c为某个常量;
pi:第i个结点的查找概率
构造
由于构造最优查找树代价太大,转而构造次优查找树,两者性能相差不大
次优查找树的构造方法
首先我们有

已知一个序列:(rl,rl+1,……,rh),递增有序。它对应的权值为:(wl,wl+1,……,wh)。
因此定义:
取 △Pi 最小的那个元素 i 作为根 ,然后分别对子序列(rl,rl+1,……,ri-1)和(ri+1,ri+2,……,rh)同样构造次优查找树,并将其分为左子树和右子树
在计算 △Pi 时,实际上就是计算元素 i 前面的元素的权值之和与元素i后面的元素的权值之和的差值
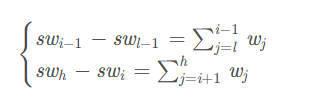
由于每次都需要重新计算一下前面的权值和后面权值之差,为提高效率,引入累计权值和
设 w(l-1) = 0 和 sw(l-1) = 0
则

这样就把到第i个位置的累计权值和装入数组了,计算一次用多次。
次优查找树上的查找步骤
设给定的查找值为K
将根结点作为当前考察的结点
1)若当前结点指针为NULL,则返回空指针
2)将当前结点的关键字key与K比较,
- 若K=key,则返回当前结点的指针;
- 若K>key,将其右孩子作为当前结点,转1);
- 若K<key,将其左孩子作为当前结点,转1);
索引顺序表
分块查找(块间有序,块内无序)
分块有序:即分成若干子表,要求每个子表中的数值都比后一块中数值小(但子表内部未必有序)
各子表中的最大关键字构成索引表,表中还需要包含对应子表的起始地址

查找方法
- 对索引表使用折半查找法(因为索引表是有序表);
- 确定了待查关键字所在的子表后,在子表内采用顺序查找法(因为各子表内部是无序表);
索引顺序查找的平均查找长度 = 查找“索引”的平均查找长度 + 查找“块”的平均查找长度
顺序查找索引表+顺序查找被确定的块


折半查找索引表+顺序查找被确定的块

- Title: 静态查找表
- Author: time will tell
- Created at : 2024-11-28 09:07:52
- Updated at : 2024-11-28 09:12:50
- Link: https://sbwrn.github.io/2024/11/28/查找表/
- License: This work is licensed under CC BY-NC-SA 4.0.


